This project was launched in the early months of the COVID-19 pandemic, when the world urgently needed to understand how everyday interactions contribute to airborne disease spread. While coughing and sneezing were recognized sources of risk, the role of ordinary conversation was far less clear. Our work revealed that normal speech produces a focused, conical jet of exhaled air that can carry aerosolized particles over meter-scale distances in less than a minute. This discovery showed that speech itself—not just symptomatic behaviors—can act as a powerful transport mechanism for respiratory viruses, explaining how asymptomatic carriers might still drive transmission.

A key novelty of our experiments and modeling is that we quantified speech as a turbulent jet built from “puffs” associated with plosive sounds (like “p” and “t”), linking phonetics to fluid dynamics. We also identified a fundamental asymmetry between exhalation and inhalation: while exhalation creates a directed jet that pushes aerosols forward, inhalation pulls air broadly from the surroundings, making it easier for a listener to inhale a speaker’s exhaled flow.

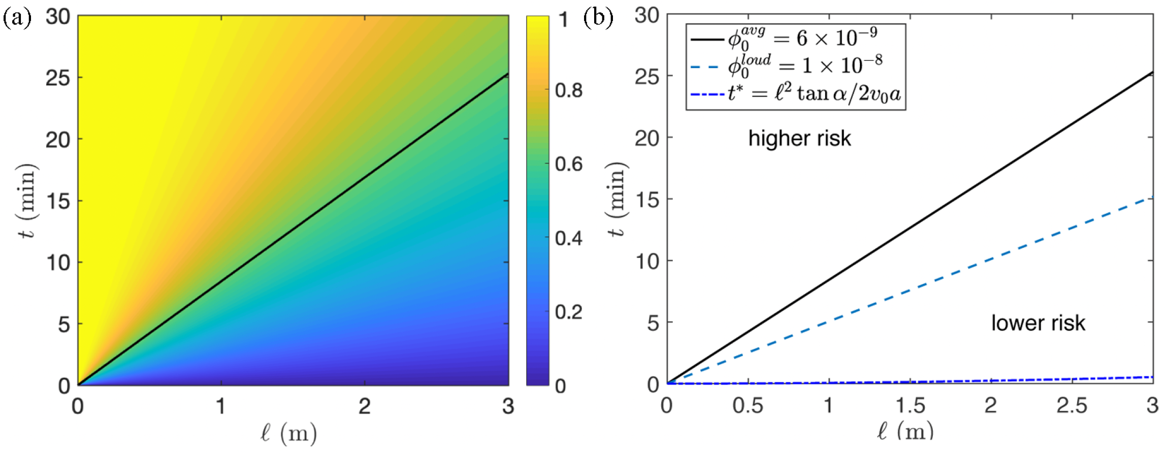
By combining direct flow visualization with risk modeling, we reframed social distancing as a space–time problem. Risk depends not only on distance, but also on contact duration and speaking intensity. As shown in Fig. 1, a 1 m conversation without masks lasts only a few minutes before risk rises sharply, while even at 2–3 m distance, prolonged exposure can still be dangerous. This framework provided a mechanistic basis for guidelines that emphasize masks, ventilation, and limited duration of close interactions.

Healing of a microtubule–motor network Figure 1: Space-time diagram of infection risks.

This project demonstrated that ordinary speech is sufficient to transport viruses effectively, giving a physical explanation for the rapid community spread of COVID-19 and other respiratory diseases. By bridging linguistics, fluid dynamics, and public health, our findings influenced how scientists and policymakers thought about distancing, masking, and the importance of ventilation.

Publications

  • 📄 F. Yang, A. A. Pahlavan, S. Mendez, M. Abkarian and H. A. Stone. Towards improved social distancing guidelines: space and time dependence of virus transmission from speech-driven aerosol transport between two individuals. Physical Review Fluids (Rapid Communication) (2020). HTML
    • ✨Selected as Editor’s Suggestion.
  • 📄 M. Abkarian, S. Mendez, N. Xue, F. Yang, and H. A. Stone. Speech Can Produce Jet-like Transport Relevant to Asymptomatic Spreading of Virus. PNAS (2020). HTML

Updated: